PERT
The program (or project) evaluation and review technique (PERT) is a statistical tool used in project management, which was designed to analyze and represent the tasks involved in completing a given project.
First developed by the United States Navy in the 1950s, it is commonly used in conjunction with the critical path method (CPM).
PERT is a method of analyzing the tasks involved in completing a given project, especially the time needed to complete each task, and to identify the minimum time needed to complete the total project. It incorporates uncertainty by making it possible to schedule a project while not knowing precisely the details and durations of all the activities. It is more of an event-oriented technique rather than start- and completion-oriented, and is used more in projects where time is the major factor rather than cost. It is applied to very large-scale, one-time, complex, non-routine infrastructure and Research and Development projects. It uses linear programming and probability concepts for planning and controlling activities.
Features
1. It is an important tool for effective project management.
2. It has uncertainty of activity timings.
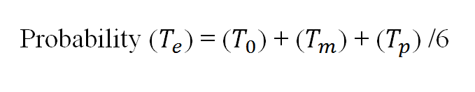
3. It has acquired the shape of a probabilistic model.
4. It works with three time estimates: Optimistic, Most likely and Pessimistic.
5. It is normally used in conjunction with CPM.
6. It estimates probability of project completion.
7. It helps indecision making.
8. It uses linear programming and probability concepts for planning and controlling activities.
9. It is a very useful device for planning the time and resources.
PERT gives three time estimates as:
1. Optimistic time ( To)
The shortest possible time to complete and activity without any provision for any delay or setbacks.
2. Normal time (Tm)
This is the time most often required to perform an activity, here is assumed that the situation is almost normal with few setbacks or laps.
3. Pessimistic time (Tp)
It is the longest time for the accomplishment of an activity under adverse conditions. This time corresponds to abnormal situations where everything has gone wrong e.g. major calamities like labour strikes, acts of God etc are excluded from consideration.
Terminology used in PERT and CPM
1. Activity
In both PERT and CPM, an activity is a distinct operation or an element of work which has to be performed for execution of a job and it is represented by an arrow. The term activity is defined as an operation or job to be carried out which consumes time and resources. In a network it is denoted by an arrow (→). The arrow can be stant, bent or straight but should not be broken. The tail of the arrow shows the start and its head represents the completion of the activity. Activities can be of the following types:
a) Predecessor Activity
Activity that must be completed immediately prior to the start of another activity is called predecessor activity.
b) Successor Activity
Activity that cannot be started until one or more activities are completed but immediately succeed them is called successor activities.
c) Concurrent Activity
Activities which can be accomplished simultaneously are known as concurrent activities. It may be pointed out that an activity can be a predecessor and successor to an event or it may be concurrent with one or more of the other activities.
d) Dummy Activity
It is denoted by a dotted/broken arrow
. It is hypothetical activity requiring zero time and zero resources for completion. It is shown by a dotted arrow. It is put to two uses in network construction namely:
i) Setting the Logic Right
Sometimes there may be any event B which cannot stat before another event. A has taken place, but the nature of the two events is such that the activity connecting A and B requires no expenditure on resources and time. Here event A is a constraint on B and the activity combining these two is called Dummy Activity. It is used to preserve the essential logic of a network.
ii) Avoiding duplication of designation
Dummy activity is also used for proper identification of more than one activity having the same tail and head events. A dummy activity is just like zero in mathematics.
e) Logic Dummy
If a dummy activity is used to preserve the essential logic of network it is called logic dummy. It is used if two parallel chains of an activity have any common event. The following example explains the situations. Such dummy is used where two independent projects are undertaken and both the projects have same common event. To indicate such common event, we make use of logic dummy. Project information states that P & Q should proceed R but S need to proceed only Q. such situations usually warrant the need of introduction of dummy. Such dummy is called logic dummy.
2) Events or Operations
These are denoted by a Circle (
) with event number enclosed in it. An event is a point of time indicating the start and completion of an activity and does not involved any expenditure on resources and time. If two or more activities finish at a particular event, then it is known as margining event.
Similarly if an even is the starting point of two or more activities, then it is known as bursting event.
Example:
Let’s draw a network for the following problems:
|
Events |
Description |
|
1 |
Start the car from the house |
|
2 |
Park car in garage |
|
3 |
Complete outside cleaning |
| 4 |
Complete inside cleaning |
| 5 |
Take car from garage |
| 6 |
Park car in house |
Here car cannot be taken to house from garage unless events 3 and 4 are complete and the decision to got to event 5 an 3 and 4 required no expenditure of time and effort. Thus the activity from 3 to 5 and 4 to 5 are dummy activity and the network for the problem will be as shown in the following diagram:
3. Looping
Looping is also known as cycling error and creates an impossible situation and it appears that none of the activities could ever be completed. For example the operation A, B and C make a loop and once we enter from A the system will continue to move around.
4. Dangling
Sometimes a project network includes activity which does not fit into the end objective of the project and is carried out without any result related with completion of the project. Such an error in a network is called dangling. So in this situation there are two or more end points in the network.
Looping and Dangling are two common errors in a network and should be avoided.
5. Critical Path
A critical path is a sequence of connected activities that lead from the beginning of the project to the end of the project. The longest path in the network is called the critical path. Identifying the critical path is of great importance as it determines the duration of the entire project. If any activity on the critical path is delayed, then the entire project will be delayed. Every network has a critical path. It is possible to have multiple critical paths if there are ties among the longest paths. All activities lying in this critical path are called critical activities or bottleneck activities, as any delay in their execution will lead to a delay in the completion of the entire project.
6. Time Estimates
There can be four kinds estimates associated with activities of a Network. These time estimates can be used to analyze the network or appropriate resource allocation. The time estimates are :
i. Earliest start time (EST)
It is the earliest possible time at which an activity can start . An EST for each activity is calculated by a moving-forward direction, i.e. from the first event to the last event in a network diagram.
ii. Latest Start Time (LST)
It is the latest possible time at which an activity can start. An LST for each activity is calculated by deducting activity duration from the latest finish time.
LST = LFT –Activity Duration
iii. Earliest Finish Time (EFT)
It is the earliest possible time at which an activity can finish. An EFT for each activity is calculated by adding an activity duration.
LST = LFT-Activity Duration
iv. Latest Finish Time (LFT)
It is the latest possible time at which an activity can finish. An EST for each activity is calculated by a moving backward direct, i.e. form the last event to the first event in a network diagram.
7. Slack
Slack is the freedom for scheduling or to start any event. It is the time by which occurrence of an event can be delayed. It is always associated with an event. An event for which the slack time is zero is called critical event. It is calculated by the difference between the latest occurance time and an earliest occurrence time of the event.
S = L-E of the event
8. Float
The maximum amount by which the duration of an activity can be increased without increasing the total duration of the entire project is known as Total Float. There are three possible types of floats:
i) Total float
It is the amount of time bywhich the completion of an activity can be delayed beyond the earliest expected completion time without affecting overall project duration time.
Total Float = Latest Finish time of an activity – Earliest Finish time of an activity i.e LFT – EFT
Or
Latest Start time of an activity – Earliest Start time of an activity i.e. LST – EST
Or
(Latest Allowable time for activity – Earliest Expected time for event) – duration of an activity
- If Total Float is –ve
Resources at disposal are not adequate to finish the activity in desired time.
- If Total Float is zero
Resource are barely adequate to complete the activity i.e. the activity is critical.
- If Total Float is +ve
Resources are surplus
ii) Free float
It is the time by which the completion of an activity can be delayed beyond the earliest finish time without affecting the earliest start of a subsequent activity. In other words, if an activity is delayed by the free float period, the succeeding activity will not be delayed.
Free Float = Earliest Start time of succeeding activity – Earliest Finish time of activity for which, free float is being calculated
Or
Latest Finish time – Earliest Finish time for the activity
Or
Total float – Head Event slack
Free float is found at merge events. If an activity has a free float the resources from such activity can be re-allocated to an activity on the critical path. In this way the total resources and the total project time may remains unaffected.
iii) Independent float
The time by which an activity can be rescheduled without affecting both preceding and succeeding activities is known as independent float.
Independent float = (Earliest Start time of succeeding activity – Latest Finish time for preceding activity) – Duration of activity for which independent float is being calculated.
Or
Free float – Tail Event Slack
Calculation of floats helps the management in identifying under-utilized resources and flexibility of the schedule, and maximum use of resources available on different activities.



